bin TL     ay    %        TL

Akbank Kredi Hesaplama  |   Ziraat Bankası Kredi Hesaplama  |   Garanti Bankası Kredi Hesaplama   |   İş Bankası Kredi Hesaplama  |   Yapı Kredi Bankası Kredi Hesaplama
Vakıfbank Kredi Hesaplama  |  
Halkbank Kredi Hesaplama   |   Şekerbank Kredi Hesaplama  |   Finansbank Kredi Hesaplama

KREDİ HESAPLAMA NASIL YAPILIR?

MASRAFLAR DAHİL GERÇEK FAİZ (YILLIK MALİYET ORANI) VE ERKEN ÖDEME HESAPLAMASI

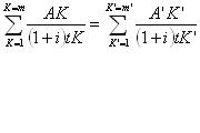
Ödemeler ve Masraflar ile Kredi Miktarı Arasındaki Denkliği Gösteren Denklem

 


Formülde kullanılan harf ve sembollerin anlamları:

K Kredinin numarası
K’ : Taksit numarası
AK : K numaralı kredinin miktarı
A’ K’ : K numaralı taksit miktarı

 

Erken Ödeme Halinde İndirim Tutarının Hesaplanması

İndirim
 Tutarı=İlgili taksit tutarı içindeki anapara x erken ödenen gün sayısı x yıllık akdi faiz oranı 
                                                       36000

Örnek Ödeme Planı

Tüketiciye 10 milyar TL tutarında, 12 ay vadeli, aylık akdi % 4 faiz oranı üzerinden kredi kullandırılması durumunda aşağıda belirtilen ödeme planı oluşturulur.

ÖRNEK 1 : Kredinin 9. taksidinin 10 gün erken ödenmesi durumunda müşteriden 1.088.816.917 TL tahsil edilir.
ÖRNEK 2 : Kredinin 9.taksitle beraber aynı tarihte erken ödenerek kapatılması durumunda müşteriden 4.129.190.443 TL tahsil edilir.
ÖRNEK 3 : Kredinin 9. taksidinin vadesinden 10 gün sonra tamamının kapatılması durumunda 3.072.648.527 TL tahsil edilir.

 

 

      Toplam

 
m : Son kredinin numarası
m’ : Son taksit numarası
t K Bir numaralı  kredi ile onu takip eden n numaralı krediler arasındaki süre
t K’ : Bir numaralı kredinin tarihi ile m numaralı taksit tarihleri arasında kalan süre
i   : Sözleşmeden hareketle denklemdeki diğer terimlerin bilinmesi halinde hesaplanabilen yüzde oranı

Bu hesaplama yapılırken:
a) Başlangıç tarihi ilk taksidin vade tarihidir.

b) Hesaplamalarda kullanılan tarihler arasındaki süreler, yıl ya da yılın kesirleri olarak ifade edilir. Bir yılda 365 gün veya 365,25 gün artık yıllarda 366 gün, 52 hafta veya 12 eşit ay bulunduğu kabul edilecektir.

c) Hesaplamanın sonucu, küsuratlı sayılarda en azından bir ondalık basamak yürütülecektir.Belli bir ondalık basamağın yuvarlanmasında, ondalık basamağı izleyen rakam beşe eşit veya beşten büyükse, bu ondalık basamaktaki sayı bire eşitlenecektir.
 

TANIMLAR

a) Tüketici kredisi sözleşmesi: Kredi veren ile tüketici arasında bir mal veya hizmet edinmek amacıyla kredi verenden nakit olarak alınan krediye ilişkin sözleşmeyi,

b) Kredi veren: Mevzuatları gereği tüketicilere nakit kredi vermeye yetkili olan banka, özel finans kuruluşu ve finansman şirketlerini,

c) Tüketici: Bir mal veya hizmeti ticari veya mesleki olamayan amaçlarla edinen, kullanan veya yararlanan gerçek ya da tüzel kişiyi,

d) Akdi faiz oranı: Tüketici kredisi sözleşmesinde yer alan faiz oranını,

e) Komisyon: Geri ödeme planında her bir taksit tutarında anapara, faiz ve her türlü kamusal yükümlülükler haricinde ayrı bir kalem olarak yer alan ve kredi verenin gelir olarak tahsil edeceği tutarları,

f) Erken ödeme: Tüketicinin kredi verene borçlandığı toplam tutarı veya vadesi gelmemiş bir veya birden çok taksidi vadesinden önce ödemesini,

g) Asgari ödeme tutarı: Taksit tutarlarının farklı olması halinde en düşük olan taksit tutarını, taksit tutarlarının eşit olması halinde en az bir taksit tutarını, tek taksitli kredilerde ise toplam bakiye borcun yüzde onuna denk gelen tutarı,

h) Ödeme planı: Tüketiciye tahsis edilen tüketici kredisinin geri ödenmesinde esas alınacak taksit, tutar ve vadeleriyle birlikte anapara, faiz, fon, vergi ve diğer masrafların ayrı ayrı belirtildiği tabloyu,

ı) Taksit: Ödeme planında kredinin geri ödenmesi için belirlenen tarihlerin hizasında gösterilen anapara, faiz, kamusal yükümlülükler ve komisyon toplamından oluşan ödeme tutarını,

j) Taksit vadesi: Ödeme planında belirtilmiş olan taksitlerin ödeneceği tarihi,

k) Yıllık maliyet oranı: Kredi veren ve tüketici tarafından kabul edilmiş olan faiz, ücret, masraf ve kamusal yükümlülükler dahil tüm taahhütlerin bu günkü değerlerinin yıllık olarak toplamına eşit olan oranı.

Erken Ödeme
Tüketici, kredi verene borçlandığı toplam miktarı önceden ödeyebileceği gibi aynı zamanda vadesi gelmemiş bir ya da birden çok taksit ödemesinde de bulunabilir. Bu halde kredi veren tüketiciden her hangi bir isim adı altında, ek bir ödemede bulunmasını isteyemez. Erken ödeme miktarı, asgari ödeme miktarının altında olamaz.

Bir veya Birden Fazla Taksidin Vadesinden Önce Ödenmesi
 Vadeden önce ödenecek bir veya birden fazla taksit söz konusu olduğunda, erken ödenen taksit tutarı içinde yer alan anapara tutarı üzerinden akdi faiz oranı ve erken ödenen gün sayısı dikkate alınarak bulunacak faiz, faiz üzerinde hesaplanacak kamusal yükümlülükler toplamı ve komisyon tutarı kadar indirim yapılır. Bu halde faiz indirimi Ek 1'de verilen formül doğrultusunda yapılır.

Kredinin Tamamının Erken Ödenmesi
Erken ödeme, taksit tarihinde yapılıyorsa; vadesi gelen taksit ödemesi, geriye kalan taksit tutarları içerisindeki anapara borcu ve varsa o tarihe kadar tahsil edilmemiş faiz ve kamusal yükümlülükler tahsil edilir.

Erken ödeme, iki taksit tarihi arasında yapılıyorsa; ödeme planında yer alan en son ödenmiş taksit tarihiyle, erken kapatma işleminin gerçekleştiği tarih arasında, anaparaya işleyen faiz tutarı, en son ödenmiş taksit tarihi itibariyle geriye kalan taksit tutarları içerisindeki anapara borcu ve varsa o tarihe kadar tahsil edilmemiş faiz ve kamusal yükümlülükler tahsil edilir.

Yıllık Maliyet Oranı
Kredinin tüketiciye yıllık maliyet oranı, yukarıda verilen formül doğrultusunda, kredinin tüketiciye verildiği tarihte, aşağıdaki bedeller hariç tutularak hesaplanır ve sözleşmede gösterilir.

a- Gecikme faizi oranı.

b- Kredi verenin, tüketici kredisini, belirli marka bir mal veya hizmet satın alınması ya da belirli bir satıcı veya sağlayıcı ile yapılacak satış sözleşmesi şartı ile vermesi durumunda bu mal veya hizmetin satış fiyatı dışında kalan ve tüketicinin ödemekle yükümlü olduğu her türlü bedel.

c- Tüketicinin makul bir seçim özgürlüğünün bulunmadığı durumlar ile ödenmesi gereken bedellerin normalin çok üstünde olduğu durumlar hariç, fon transferine ilişkin bedeller ile kredi geri ödemeleri, faiz ödemeleri ve diğer masraf ve harçların tahsili amacıyla açılmış bir hesabın muhafaza edilmesine ilişkin bedeller. Ancak, söz konusu ödeme ya da geri ödemelerin tahsili için yapılan masraflar yıllık maliyet oranı hesabına dahil edilecektir.

d- Kredi şartları üzerinde belli bir etkisi olsa dahi kredi sözleşmesinden ayrı sözleşmelerden doğan üyelik aidatları.

e- Tüketicinin ölümü, maluliyeti, hastalanması ya da işsiz kalması halinde yasal faiz ve alacaklı tarafından kredinin verilmesi için şart koşulmuş diğer masraflarla birlikte, toplam kredi miktarına eşit ya da bu miktardan az bir meblağın kredi verene ödenmesini sağlamak amacıyla tasarlanmış bedellerin dışında kalan sigorta ya da teminat masrafları.